导读:锂电池在使用或储存过程中会出现一定概率的失效, 包括容量衰减(跳水)、循环寿命短、内阻增大、电压异常、析锂、产气、漏液、短路、变形、热失控等, 严重降低了锂电池的使用性能、一致性、可靠性、安全性。对锂电池失效进行准确诊断并探究其失效机理是锂电池失效分析的主要任务, 对锂电池性能提升和技术发展也具有深远意义。
1 锂电池失效分析介绍
国家标准GB3187-82中定义:“失效(故障)—— 产品丧失规 定的功能。对可修复产品,通常也称为故障。”锂电池的失效是指由某些特定的本质原因导致电池性能衰减或使用性能异常。锂电池的失效主要分为两类:一类为性能失效, 另一类为安全性失效,如图1所示。性能失效指的是锂电池的性能达不到使用要求和相关指标,主要有容量衰减或跳水、循环寿命短、倍率性能差、一致性差、易自放电、高低温性能衰减等;安全性失效指的是锂电池由于使用不当或者滥用,出现的具有一定安全风险的失效,主要有热失控、胀气、漏液、析锂、短路、膨胀形变等。

图1 常见锂电池失效的分类
失效分析的诞生伴随失效现象,以判定和预防其发生为目的。失效分析是一种判断产品失效模式、分析失效原因、预测或预防失效现象的技术活动和管理活动。人们对锂电池的使用性能指标提出了更高的要求,尤其凸显在体积/质量能量密度、功率密度、循环寿命、成本、安全性能等方面. 例如在《中国制造2025》中提到了能量型锂电池比能量大于300 W·h/kg, 功率型锂电池比功率大于4000 W/kg的发展目标。图2为1990—2025年锂离子电池能量密度发展路线图。为了满足市场的需求,提高电池的性能与安全性,缩短新体系研发周期,开展锂电池失效分析是十分必要的。

图2 1990—2025年锂离子电池能量密度发展路线
虽然产品的诞生伴随着失效,但失效为人们所认知是从失效现象开始, 所以失效分析工作要始于失效现象。首先应从锂电池失效现象着手,锂电池失效现象是锂电池失效分析的第一步, 是最直接最重要的失效信息之一。若没有充分掌握和分析锂电池失效的信息,则不能准确获取锂电池失效的根本原因,因而不仅不能提供建设性建议或可靠性评估。失效现象分为显性和隐性两部分。显性指的是直接可观测的表现和特征,例如失效现场出现并可通过粗视分析观察到的表面结构破碎和形变,包括起火燃烧、发热、鼓胀(产气)、变形、漏液、封装材料破损及畸变、封装材料毛刺、虚焊或漏焊、塑料材质熔化变形等。隐性指的是不能直接观测而需要通过拆解、分析后得到的或者是模拟实验中所展现的表现和特征,例如通过实验室拆解检测到的微观失效,以及模拟电池中电学信息等. 锂电池失效过程中常有的隐性失效现象有正负极内短路、析锂、极片掉粉、隔膜老化、隔膜阻塞、隔膜刺穿、电解液干涸、电解液变性失效、负极溶解、过渡金属析出(含析铜)、极片毛刺、卷绕(或叠片)异常、容量跳水、电压异常、电阻过高、循环寿命异常、高/低温性能异常等。失效现象的范围常常会与失效模式的范围有交集,失效现象更偏向对现象的直接描述, 属于对失效过程的信息收集和描述;失效模式一般理解为失效的性质和类型,是对失效的归类和划分。锂电池失效现象是电池失效表现的大集群,对其进行定义和分类是十分必要的。
失效是失效原因的最终表现,也是失效原因在一定时间内叠加失效现象的结果。失效分析的重要任务之一是对失效原因进行准确判定。常见的锂电池失效原因有活性物质的结构变化、活性物质相变、活性颗粒出现裂纹或破碎、过渡金属溶出、体积膨胀、固体电解质界面(SEI)过度生长、SEI分解、锂枝晶生长、电解液分解 或失效、电解液不足、电解液添加剂的失配、集流体腐蚀或溶解、导电剂失效、黏结剂失效、隔膜老化失效、隔膜孔隙阻塞、极片出现偏析、材料团聚、电芯设计异常、电芯分容老化过程异常等。图3展示的是锂电池内部失效情况。从锂电池失效原因研究内容可将其分为外因和内因。其中外因包括撞击、针刺、腐蚀、高温燃烧、人为破坏等外部因素;而内因主要指的是失效的物理、化学变化本质, 研究尺度 可以追溯到原子、分子尺度, 研究失效过程的热力学、动力学变化. 锂电池的失效归根结底是材料的失效。材料的失效主要指的是材料结构、性质、形貌等发生异常和材料间失配。例如,正极材料因局部Li+脱嵌速率不一致导致材料所受应力不均而产生的颗粒破碎,硅负极材料因充放电过程中发生体积膨胀收缩而出现的破碎粉化,电解液受到湿度温度的影响发生分解或变质,石墨负极与电解液中添加剂的碳酸丙烯酯(PC)发生的溶剂共嵌入问题, N/P(负极片容量与正极片容量的比值)过小导致的析锂.
锂电池的失效原因并不总能与失效一一对应, 存在“一对多”、“多对一”和“多对多” 的关系。某一失效原因可能在时间跨度中有不同的表现, 例如充放电制度异常导致大电流充放电,最开始可能会表现出极化较大,中间阶段会因锂枝晶的析出导致内短路, 随后伴随着锂枝晶的分解与再生, 最后可能会出现热失控。某一失效原因可能会发生多种截然不同的失效, 例如局部过渡金属的析出,可能会产生气体, 形成鼓胀的失效表现,但也可能因为内短路形成局部发热, 进而导致隔膜收缩,引起大面积的热失控。某一个失效现象可能对应着多种失效原因,例如容量衰减究其失效机理有材料结构变化、微结构破坏、材料间接触失效、电解液失效或分解、导电添加剂失效等。

图3 锂电池内部失效情况
失效分析分为两个方向: 其一为基于锂电池失效的诊断分析, 是以失效为出发点, 追溯到电池材料的失效机理, 以达到分析失效原因的目的; 其二为基于累积失效原因数据库的机理探索分析, 是以设计材料的失效点为出发点, 探究锂电池失效发生过程的各类影响因素, 以达到预防为主的目的.
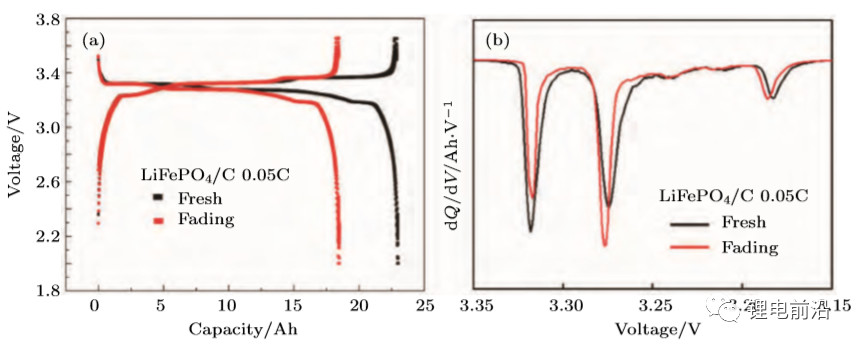
锂电池的诊断分析以锂电池失效为出发点,根据电池的失效表现, 对电池进行电池外观检测、电池无损检测、电池有损检测以及综合分析。面对实际案例时,需要根据不同情况对分析流程及测试项目进行调整和优化。以容量衰减电池失效分析为例(如图4所示),结合失效表现和使用条件细化失效行为,并提供相应分析侧重点。如正常循环衰减,则后期分析注重于材料结构变化、SEI过度生长以及析锂等因素。通过对失效电池外观检查, 确定是否存在外部结构变化或电解液外漏等因素.无损检测主要包括微米X射线断面扫描(XCT)和全电池电化学测试。通过无损检测分析的结论,进一步确认内部结构变化情况、量化失效行为、选择测试项目、调整分析流程。例如,对比图5中某款 LiFePO4/C失效电池和新鲜电池全电池充放电曲 线分析显示放电容量衰减21%, 进一步对充放电曲线处理得到容量增量(IC)曲线, 根据曲线峰位整体向高电位移动,表明存在材料结构变化引起锂脱嵌难度增加,结合3.27 V和3.32 V处更为明显的峰强变化,表明该电池容量衰减主要是由于活性锂源损失及活性材料结构破坏,并且进一步佐证了分析侧重点。所谓电池有损检测是指通过电池拆解、极片 观察及材料测试分析来确定正负极片、活性材料以及隔膜等因素在电池失效中的作用. 其中材料的测试分析则以物化性能和电化学性能测试为主.例如对上述LiFePO4/C失效电池极片进行扫描电子显微镜(SEM)形貌测试结果显示正极材料有明显的结构破坏,X射线衍射(XRD)结构谱图中18.5◦和31◦峰强的增加揭示了Fex(POy)相的增加,即正极材料存在相变现象(如图6所示)。对极片表面进行X射线光电子能谱(XPS)分析,以及对极片进行半电池测试则能够定性和定量分析极片表面SEI和容量损失。最后总结得出定性或定量的失效原因,并提供分析报告。锂电池失效机理研究是通过大量基础科研,以及构建合理模型和验证实验, 准确模拟分析电池内部复杂的物理化学反应过程, 找出电池失效的本质原因,构建失效原因数据库。电池机理分析可能会从不同角度去开展,包括设计材料角度和设计失效角度。

图4 某款电池容量衰减失效分析流程

图5 某款LiFePO4/C失效电池和新鲜电池全电池(a)充放电曲线及(b)对应放电曲线的IC曲线

图6 某款LiFePO4/C失效电池和新鲜电池极片 (a) SEM 照片; (b)XRD谱图
以材料体系为出发点,设计不同的变量分别对电池或材料的失效机理进行研究(如图7所示)。其中,以材料体系为出发点的机理分析工作常以基础科研的形式进行,此类工作在科研院校中居多。需明确实验目的,如“对比研究某材料体系常 温下高倍率充放电的容量衰减机理”,“研究某款电解液添加剂对电池高温循环性能的影响”等。设计实验流程,并通过制备电池,模拟电池使用环境或使用条件以达到预期失效的目的。对失效电池进行逆向解析, 结合材料体系分析电池失效机理.

图7 锂电池失效机理研究流程示意图
除了失效分析流程的设计外,锂电池失效分析主要步骤还包括失效信息采集、失效机理研究、测试分析手段等内容。采集锂电池的失效信息,包括直接失效现象、使用环境、使用条件等内容。虽然失效分析工作内容主要包括明确分析对象、收集失效信息、确定失效模式、研究失效机理、判定失效原因、提出预防措施. 但失效分析不应局限于以找出产品失效的本质原因为目的,应引发到对技术管理方法、标准化规范、失效现象深层次机理的思考, 以及融入大数据和仿真模拟等新思维.失效分析的最终目的是确定准确的失效模式,定量分析准确的失效原因,尤其是理清失效机理,积累失效分析数据库,完成“失效现象-失效模 式-失效原因-改进措施-模拟实验”完整数据链以及“原始材料-制备工艺-使用环境-梯度利用及拆解回收”全寿命周期的失效研究。现阶段,正在构建“锂电池失效数据库”。未来,锂电池失效分析将实现电子化和智能化,通过采集失效现象,结合“锂电池失效数据库”,给出失效机理初步预测以及合理、高效的测试分析流程. 在此过程中,还需要解决很多困难,例如: 优化失效分析流程、提供测试分析技术、攻克测试技术难点、规范测试分析方法等.
2 失效分析难点
锂电池失效原因与失效之间并不是简单的“一对一”模式, 还有“ 一对多”、“多对一”、“多对多”等多维关系。此外,引起锂电池失效的原因分为内因和外因,可以是来自组成材料本身的结构、物化性质的变化,也可以是设计制造、使用环境、时间跨度等复杂因素。因此, 锂电池的失效原因和失效之间的构效关系十分复杂(如图8所示)。例如,正/负极材料的结构变化或破坏,都会产生容量上的衰减、倍率性能下降、内阻增大等问题; 隔膜老化、刺穿是电池内短路的重要因素; 电池的设计,极片涂布、滚压、卷绕等过程都直接与电池容量及倍率性能的发挥密切相关;高温环境会导致电池电解液发生分解变质,也会引起容量衰减、内阻增大、产气等问题。故想用单一失效原因去描述并剖析失效是不正确的, 且需要用定量角度剖析多种失效原因在某一阶段的影响权重和主次关系, 才能对失效电池进行准确的评估, 并针对性地提出合理的措施。

图8 锂电池使用条件、失效原因及失效现象的关系图
锂电池本身就是属于现代控制论中的灰箱(灰色系统), 即对其内部物理、化学变化机理及热力学与动力学过程不是完全了解。众所周知, 锂电池主要由正极材料、负极材料、隔膜、电解质、溶剂、导电剂、黏结剂、集流体、极耳等组 成.电池制备流程包含前段、中段、末段三部分, 包括打浆、涂布、烘干、辊压、分条、配片、模切或卷绕、入壳、极耳焊接、注液、封口焊接、化成分容等步骤. 图9展示了锂电池常见的制备过程, 图中描述了各个生产过程中存在的影响电池使用性能的因素。但各个关键材料之间并不是独立存在的, 各个制备步骤也不是独立存在, 它们之间是相互关联、相互影响的,且会因应用领域的改变而发生较大变化。图10表示电池材料性质与性能的关系.目前常见的锂电池正极材料有LiCoO2,LiFePO4,LiMn2O4,Li2MnO3-LiMO2,LiNixCoyAl1−x−yO2, LiNixCoyMn1−x−yO2, LiNi0.5Mn1.5O4等。常见的锂电池负极材料有天然石墨、人造石墨、中间相碳微球MCMB、Li4Ti5O12、软碳、硬碳、硅负极、SiOx-C负极、金属锂、复合金属锂等. 根据不同的使用环境和要求, 选择不同的正负极体系, 配以适当的电解液体系及其他辅助材料,在合适的制备流程下,做成满足使用需求的各类形式锂电池.合格的锂电池会应用到各行各业,尤其在电动汽车、船舶、航天航空等领域。从材料制备到产品使用的过程充满着可变性、复杂性, 因此,对锂电池失效分析不能仅局限于电池关键材料的失效,同时要对材料结构、合成加工、性能设计、制造流程、服役情况、失效表现等进行综合考虑。

图9 锂电池常见制备过程设计的影响因素

图10 电池材料性质和电池性能的关系

图11 常见测试分析设备的样品转移盒
除了上述难点之外,还存在一些技术难点,包括对锂电池材料失效的分析需要使用到样品收集/筛选技术、样品转移技术、合理准确的表征分析技术。在对样品进行收集和筛选之前,对不同规格的电芯进行合理有效的拆解十分重要.。现阶段多为手动拆解或半自动化拆解, 拆解过程中存在短路、破坏关键材料等隐患。电池内产气和电解液的收集仍然存在一定困难, 尤其在产气收集过程中容易引入杂质气体,剩余电解液量过少导致不易收集以及测试困难. 绝大多数锂电池材料对空气敏感, 尤其对空气中的水分和氧分.这也对样品的转移技术提出了一些要求。
中国科学院物理研究所失效分析团队多年来从事相关研究工作,努力发展的全自动电池拆解仪器目前处于试用阶段,发展了针对不同型号电池的气体收集装置,以及发展了常规测试设备的气氛保护壳或样品转移盒(如图11所示)以实现样品转移和测试过程中的惰性气氛保护。图12展示了锂电池内部各类失效常规的表征分析技术,分别从电极和材料两个角度讲解了电极表面覆盖膜、颗粒表面覆盖膜、材料孔隙堵塞、材料接触失效、颗粒破碎、过渡金属溶出与迁移等失效的表征技术。而在更为微观的原子层面的材料失效表征,以及三维成像表征方面仍然存在不足。因此,一些原位实验技术、同步辐射技术、中子衍射技术、重构成像技术、纳米CT、球差电镜等也被引入到锂电池失效分析中, 揭示了更深层次的失效机理。但失效分析并不是以高端表征分析手段为噱头,而是根据失效问题进行严格、完备的逻辑分析后, 制定合适的分析流程,采用必要的表征分析手段。

图12 常见电池内部失效点的表征分析技术
3 规范测试分析方法
不同的分析小组采用同样的测试分析技术,实验结果会有一定的差异,即使是同一分析小组在后期重复性实验中,得到的实验结果也会存在差异。失效分析最终目的是提出关键性解决措施, 实验结果的差异会让解决措施差之毫厘谬以千里。这些 问题并不局限在锂电池失效分析中, 而广泛存在于机械工程、汽车工程、航空工程等其他领域的失效分析中。因此, 标准化分析流程成为了必然的趋势。除了常规的材料物化分析技术之外, 材料预处理、转移环境以及数据分析的规范化, 对准确分析材料、认清失效机理都是必要的。例如,测试样品的预处理会影响检测结果准确性, 样品的气氛保护、电解液/气体的收集环境、电极材料混合物的分离均与测试结果和分析结论息息相关。现阶段,不同厂家的材料体系、电池型号、制备方法和流程都存在一定的差异,其电化学性能、物化性能及安全性能都受到直接影响,这给失效分析带来了更多的变量和不确定性。现行的锂离子电池测试标准多针对电池单体或电池包等产品的安全性及电性能的测试,如IEC 61960, JIS-C-8711主要侧重于锂离子电池的电性能测试; IEC 62133, UL2054, UL1642 和JISC-8714等标准主要侧重于电池产品的安全性能的测试标准。国内现行多款测试分析标准,多数以材料为出发点,涉及材料性能和含量的测定方法, 如表1所列。此外, 针对电池组和电池包的 GB/T 31467《电动汽车用锂离子动力蓄电池包和系统》, 以及针对单体电池制定的GB/T 18287《移动电话用锂离子蓄电池及蓄电池组总规范》包含了部分安全检测和性能测试项目。

表1 国内现行锂电池相关标准
4 研究进展及发展方向
20世纪70年代锂电池出现,并因其安全性能得不到保障而出现发展严重滞后.直到1991年, 锂离子电池成功商业化激发了世界各国对锂电池储能技术的兴趣,然而保障和提升其使用性能和安全性能一直是人们关注的重点。在其产业化发展的过程中,人们不断地意识到对锂电池失效分析在产品前期的研发优化,中期电芯制造与规模化生产,后期电池使用性能与安全性失效的预测和评估,甚至在仲裁失效事故等方面具有重要的现实意义。现阶段,从事锂电池失效分析的专业机构不多,尤其是专业从事锂电池诊断分析的机构更是少之又少。其中美国阿贡国家实验室早在20世纪末便建立了电化学分析与诊断部门, 开展研发新型先进电池和储能技术,以及全方位的电池研究和诊断工作。日本东丽早在1979年就开展了对锂电池分析表征技术的研发,随后以特性分析和劣化解析技术为主要发展方向, 现已能提供电池失效分析标准化商业服务。此外还有布鲁克海文国家实验室, 日本东洋(Toyo)、索尼(Sony)、汤浅(Yuasa)、松下(Panasonic), 韩国三星SDI(Samsung SDI)、LG化学(LG-Chem)等机构也在从事类似工作。相对于国外长时间的积累和发展, 国内在失效分析领域的发展还处于摸索阶段.在该阶段,涌现了一些优秀的研究团队.其中,中国科学院物理研究所锂离子电池失效分析团队最早系统地开展了锂离子电池失效分析研究工作.在中国科学院先导A类项目资助下, 依托物理研究所多年累积的锂离子电池研究,搭建了互联互通惰性气氛电池综合分析平台,图13展示的是中国科学院物理研究所互联互通惰性气氛综合分析平台CAFFES,为国内外优秀电池企业提供诊断分析服务,与科研院校及材料企业合作开展商业电池和先进电池的失效机理研究,以及失效分析方法的研究,力求建立与完善锂离子电池失效故障树和失效分析流程,完善锂电池整体失效分析体系.

图13 中国科学院物理研究所互联互通惰性气氛综合分析平台

图14 (a)原位透射X射线成像技术、(b)原位高频X射线断层扫描仪结合热成像技术以及(c)原位透射电子显微镜技术在 锂电池测试分析中的应用
锂电池的机理分析主要在高校和研究所开展,其从基础科学的角度,对锂电池失效问题进行分析研究,在测试分析技术方面有着丰富的经验.大量的先进测试表征技术应用到锂电池的测试分析中, 如中子衍射、纳米CT、球差电镜以及原位检测技术等,这为更加精准地分析材料层面的失效机理提供了支持。如图14所示, Xu等采用原位透射X射线成像技术深层次地研究了软包电池中LiCoO2材料的形貌结构失效与化学元素分布之间的变化关系以及相关的失效机理; Finegan等采用原位高 频X射线断层扫描仪结合热成像技术,“原位”可视化地研究了两款商业电池在不同条件引起的热失控过程中内部结构和热动力学的变化,为研究和预测热量生成和消散的关键因素提供了技术支持; 中国科学院物理研究所Gong等在球差透射电子显微镜的基础上,发展了原位技术,从纳米层级实时观测和分析电池材料脱嵌锂过程,对电池材料的失效机理研究提供了重要的技术保障. 电池企业及材料企业各自开展锂离子电池失效分析的研究,但多偏重于电池制造工艺和材料的研发制备,以提高电池性能、降低电池成本为直接目标,多采用大量正向验证实验, 并累积了丰富的经验和方法,但在逆向解析和精准分析方面存在经验和技术仍有欠缺的问题.出于效率和效益的角度考虑, 相关企业更希望在现有常规测试技术的基础 上发展具有高效性、准确性和普适性的失效分析方法, 这对设计测试分析流程提出了更高的要求.
5 总结与展望
中国失效分析已在机械领域和航空领域得到系统性的发展, 而在锂电池领域还未得到系统的研究.本文对锂电池失效分析的定义、失效表现、失效原因、分析内容、分析流程等进行了简述。未来失效分析将可能从以下几个方面进行:首先是对电池基础问题的研究工作, 这部分是失效分析的基础, 需借用先进表征分析技术对材料、电芯的结构、性质以及反应规律进行探究; 其次是对不同体系、不同失效表现的电池的测试分析技术进行规范化、标准化和模块化,并在此基础上建立高效、准确、普适的失效分析流程,这部分是失效分析体系化的必由之路; 再次是充分利用计算机模拟技术对影响锂电池性能的多因素、多环节等模拟分析,以缩短数据库积累周期,考虑多因素之间的相互作用;最后是对失效分析方法和思路进行归纳和模块化,使之能对不同的体系保持良好的移植性, 例如钠离子电池、全固态电池、锂硫电池、空气电池等。
本文链接:/index.html