一、概述
冲击运动按时域特征可分为 3 类:脉冲型、阶跃型和复杂振荡型。持续时间比系统固有半周期短的冲击称为脉冲型冲击,系统能量突变的冲击(如受突变加力作用后引起的阶跃运动)称为阶跃型冲击,两者皆属于典型冲击,一般产生在冲击源处。而复杂振荡型冲击则主要是经系统传递后产生的冲击响应运动。实际上经常遇到冲击运动中多数为复杂振荡型。从频域特征看,它们的频率含量是相当丰富的,理论上包含了0~+∞的频率范围。
冲击试验是为了考核产品耐受冲击环境的能力。它一方面应尽量模拟和接近真实的环境,另一方面应具有一定的重复性。对于较简单的冲击环境,可根据产品受到的实际冲击环境,用与其相近的简单脉冲在试验设备上做冲击试验。对较为复杂的冲击环境,要对冲击激励源做冲击响应谱分析,用相近冲击响应谱的简单脉冲在试验设备上进行试验。目前的发展趋势是既要求冲击响应激励相似,又要求冲击的时间历程相似。
二、机械冲击试验标准
由于冲击环境条件非常复杂,目前还未找到一种统一的试验方法。GJB 150、GJB 360、GJB 548、GB 2423、MIL-STD-810E 都对冲击试验做出了详细的规定。GJB 150《军用设备环境试验方法》提供了 4 种模拟冲击的方法,共 10 种类型的冲击试验。有的很原始,如运输中的冲击试验、工作台上的倾倒等。有的试验已较为科学地从冲击激励引起的失效机理、失效模式上模拟,如冲击响应谱试验。冲击响应谱的试验效果比较接近实际使用环境,在试验中能充分暴露冲击环境造成的故障,因此,在标准中要求优先采用。但由于缺少冲击响应谱的实测数据和缺少冲击响应谱模拟试验设备,所以,很多情况下不能采用冲击响应谱模拟,只能采用规定冲击波形。由于产品所承受的冲击是一种复杂的瞬态振动,规定的半正弦波、后峰锯齿波在实际中不可能模拟真实的冲击振动环境。
冲击试验条件包含基本脉冲波形、峰值加速度、相应的标称脉冲持续时间,相应的速度变化量,以及这些参数的容差范围,另外,还有施加冲击的次数及冲击方向等。
1.基本脉冲波形
GB/T 2423.5—1995 标准中规定了当冲击试验机及夹具装上试验样品时,在检测点上所施加的冲击脉冲应为以下3种基本脉冲波形。
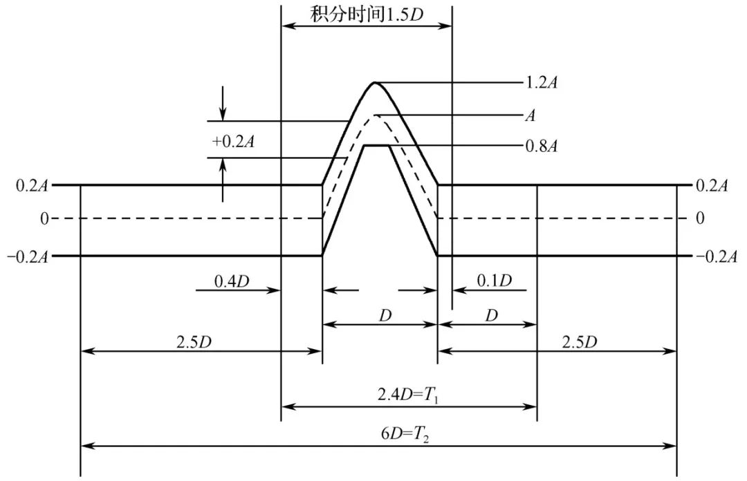
(1)半正弦脉冲
即正弦波的半个周期,如图 1所示。半正弦波脉冲适用于模拟线性系统的撞击或线性系统的减速所引起的冲击效应,如弹性结构的撞击等,这种波形在冲击试验中最为常用。

图1半正弦脉冲
注:--为标称脉冲线;—为容差范围线;D—标称脉冲的持续时间;A—标称脉冲的峰值加速度;T1—用常规冲击机产生冲击时,对脉冲进行监测的最短时间;T2—用电动振动台产生冲击时,对脉冲进行监测的最短时间
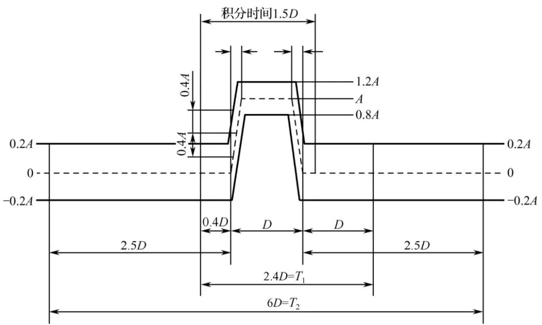
(2)梯形脉冲。即具有短的上升和下降时间的对称四边形,如图 2所示。梯形脉冲能在较宽的频谱上比半正弦脉冲产生更高的响应。如果试验的目的是模拟诸如空间探测器或卫星爆炸螺栓所引起的冲击环境的效应,便可采用这种冲击波形。

图2 梯形脉冲
注:--为标称脉冲线;—为容差范围线;D—标称脉冲的持续时间;A—标称脉冲的峰值加速度;T1—用常规冲击机产生冲击时,对脉冲进行监测的最短时间;T2—用电动振动台产生冲击时,对脉冲进行监测的最短时间
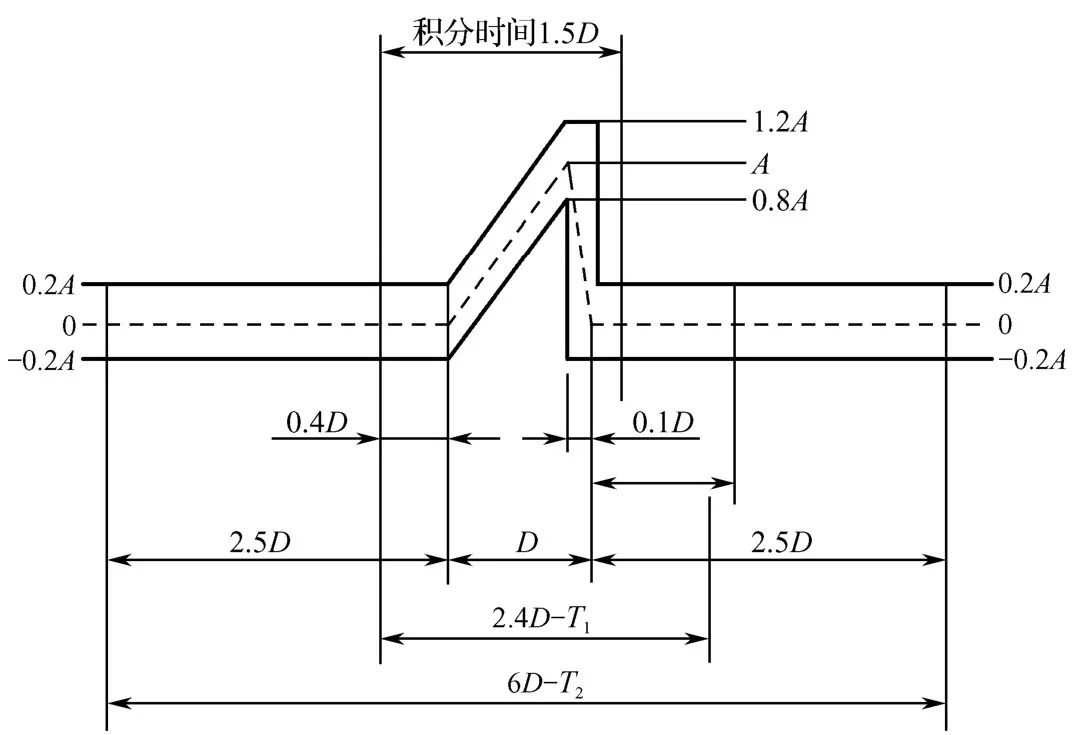
(3)后峰锯齿形脉冲。即具有短的下降时间的不对称三角形,如图 3所示。后峰锯齿形脉冲与半正弦和梯形脉冲相比,更具有均匀的响应谱。

图3 后峰锯齿脉冲
注:--为标称脉冲线;—为容差范围线;D—标称脉冲的持续时间;A—标称脉冲的峰值加速度T1—用常规冲击机产生冲击时,对脉冲进行监测的最短时间;T2—用电动振动台产生冲击时,对脉冲进行监测的最短时间
标准 GJB 150.18 规定了半正弦波和后峰锯齿波两种基本脉冲波形,如图 4和图5所示。

图4 GJB150.18半正弦冲击脉冲波形及容差

图5 GJB150.18后峰锯齿冲击波形及容差
GJB 360.23也同样规定了两种冲击试验时的两种基本波形,如图6和图7所示。

图6 GJB 360.23半正弦冲击脉冲容差
注:A—理想半正弦脉冲的最大加速度;D—理想半正弦脉冲持续时间;Vi—理想半正弦脉冲速度变化值;V—实测冲击试验脉冲的速度变化值

图7 GJB 360.23后峰锯齿形脉冲容差范围
注:A—理想锯齿形脉冲的最大加速度;D—理想锯齿形脉冲持续时间;Vi—理想锯齿形脉冲速度变化值;V—实测冲击试验脉冲的速度变化值
2.冲击试验的严酷等级
GB/T 2423.5—1995 中给出了脉冲波形和试验严酷等级,试验时可选用其中的一种脉冲波形和表 1给定的一种严酷等级和相应的速度变化量。

表1 脉冲的加速度和持续时间(GB/T 2423.5—1995)
GJB 150.18 给出的严酷等级见表 2。当做坠撞安全试验时,其严酷等级见表 3。当做强冲击试验时,其严酷等级见表4。

表2 脉冲加速度和持续时间(GJB 150.18)
注:① 速度变化量由冲击脉冲波形积分求得。积分时间从脉冲前0.4D到脉冲后0.1D止,D为冲击脉冲持续时间。② 若设备仅安装在卡车或拖车上,可使用20g的峰值加速度。③ 装在减震器上质量小于150kg的飞行器设备应优先选用后峰锯齿波。

表3 做坠撞安全试验时的严酷等级(GJB 150.18)

注:① 速度变化量由冲击脉冲波形积分求得。积分时间从脉冲前0.4D到脉冲后0.1D止,D为冲击脉冲持续时间。② 装在减震器上质量小于150kg的飞机设备应优先选用后峰锯齿波。

表4 做强冲击试验时的严酷等级(GJB 150.18)
注:① 速度变化量由冲击脉冲波形积分求得。积分时间从脉冲前0.4D到脉冲后0.1D止,D为冲击脉冲持续时间。② 装在减震器上质量小于150kg的飞行器设备应优先选用后峰锯齿波。
GJB 360.23 给出的脉冲加速度和持续时间冲击试验严酷等级见表5。

表5 脉冲加速度和持续时间(GJB 360.23)
注:试验条件D、E、F原则上只适用于半导体器件
GJB 548给出的严酷等级见表6。

表6 脉冲加速度和持续时间(GJB 548)
三、机械冲击试验方法
目前,冲击试验方法,主要有以下3种:
(1)标准脉冲冲击试验方法
这种方法是事先规定一种冲击脉冲波形,并规定了各种脉冲波形的公差带。然后按照规定的脉冲波形的峰值加速度、脉冲持续时间、脉冲次数等来进行各种严酷等级的冲击试验。
由于这种冲击脉冲在实验室里用试验设备比较容易产生,而且用这种方法能够比较好地模拟产品在实际使用环境中因冲击所造成的机理性损伤,因此,目前国内外广泛采用了这种试验方法。如国际电工委员会标准IEC 68—2—27Ea《冲击试验方法》、IEC 68—2—29Eb:《碰撞试验方法》和国家标准GB/T 2423.5—95Ea:《冲击试验方法》、GB/T 2423.6—95Eb:《碰撞试验方法》、GJB 360.23—87:《冲击(规定脉冲)试验方法》GJB 150.18—86《冲击试验方法》等。
(2)冲击响应谱试验方法
冲击响应谱通常简称“冲击谱”,它是工程中广泛应用的一个重要概念。国际电工委员会(IEC)、国际标准化组织(ISO)所属的技术委员会,以及我国的国家标准,都已经把冲击谱作为规定冲击环境的方法之一。这是一种比较新的、科学合理的试验方法。这种方法是用冲击响应谱来表达冲击运动对产品结构的影响,也就是冲击响应谱来研究冲击运动对产品结构的损伤能力。它在确定产品结构的强度方面是十分有用的。
这一试验方法在随机振动台上能够比较容易、方便地进行。国外工业比较发达的国家早已采用了“规定一种冲击谱”的试验方法来进行冲击试验。国内有些单位前期对“规定一种冲击谱”的试验方法也做了一定的工作。目前正在积极推广这种试验方法。
(3)特种冲击试验方法
这种方法是将冲击机的结构、技术要求、操作方法、运动形式和试样的安装方式等用规范的形式规定下来,操作者只要遵照规范的规定进行工作,完成规范中的试验程序,就算试验结果达到了标准要求。这一试验方法主要用于舰船上所用的电机、电器和电子设备进行冲击试验。因为舰船上所用的电机、电器和电子设备一般的体积、质量都比较大,若用上述两种方法进行试验,要受到试样体积、质量的限制,对试验结果会产生很大的影响,所以,规定一种规范形式的试验方法就比较方便。
这三种试验方法中标准脉冲试验方法被广泛使用,在今后相当一段时间内还要使用。冲击响应谱试验方法是一种先进的、科学合理的试验方法,它不仅能考核试样试验时的峰值加速度、脉冲持续时间、脉冲波形的准确程度,而且对试样本身的机械特性也可进行考验。所以,它是今后发展的趋势所要求的一种比较理想的试验方法。特种冲击试验方法作为标准来对产品进行冲击试验的形式有一定的局限性,但目前国内外仍在使用这一试验方法对大型产品和舰船设备作冲击试验。
1.机械冲击标准波形
不同材料、结构的物体受冲击时产生的冲击脉冲是不同的,在试验室内较容易产生的冲击波形有半正弦、矩形波、后峰锯齿波等。进行冲击试验,应根据产品的冲击环境选择最接近真实情况的冲击波形、持续时间和峰值等参数。
为保证冲击试验的同一性和试验的再现性,保证在不同的试验室,不同设备、不同人员按相同的技术条件要求对同一产品进行冲击试验有相同的结果,各种标准如 GJB 150、GJB 360、GB 2423、MIL-STD-810E 都对冲击试验做出了详细的规定。GJB 150 规定了两种冲击波形:半正弦波、后峰锯齿波,如图8所示。GJB 150试验时,实际各种冲击脉冲速度变化的容差应在标准值的±10%内,实际冲击脉冲速度计算应从脉冲前0.4D积分到脉冲后的0.1D,其中D是标称脉冲持续时间。

图8 GJB 150规定的冲击波形及容差
(1)半正弦波冲击脉冲。半正弦波冲击脉冲可以用一个时间的连续函数描述:

其频域表达式为

求得其幅值谱为

半正弦波的时域波形和幅值谱如图9所示。

图9 半正弦波时域波形和幅值谱
(2)后峰锯齿波冲击脉冲。后峰锯齿波冲击脉冲可以用一个时间的连续函数描述:

其频域表达式为

后峰锯齿波的时域波形和幅值谱如图10所示。

图10 后峰锯齿波的时域图和频域图
2.冲击响应谱
冲击响应谱(Shock Response Spectrum)通常简称为“冲击谱”,冲击谱是指一系列单自由度质量阻尼系统,当其公共基础受到冲击激励时各单自由度(SDOF)系统产生的响应峰值作为单自由度系统固有频率的函数绘出的曲线。简单来说,就是在笛卡儿坐标系下以单自由度系统的固有频率为横坐标,以其响应峰值为纵坐标绘制而成的曲线。冲击谱是对设备实施抗冲击设计的分析基础,也是控制产品冲击环境模拟试验的基本参数。由定义可知,冲击谱是单自由度系统受冲击作用后所产生的响应运动在频域中的特性描述。它不同于冲击源的傅里叶频谱,其区别在于:傅里叶频谱仅仅研究冲击源本身在频域中的能量分布属性,只是冲击源函数在频域中的展开,它不涉及任何一个机械系统的响应。虽然冲击频谱与傅里叶频谱两者都是频率的函数,但有着明显的区别。
冲击响应谱只是响应幅值与频率的关系曲线,相位信息不存在于冲击响应谱中,由冲击响应谱不能复现原来的冲击波形,而不同的冲击波形可以产生相同的冲击响应谱。
(1)冲击响应谱分类
冲击响应谱按照响应峰值取法不同分为以下几种。
① 初始响应谱:在冲击持续作用时间范围内出现的最大响应峰值与系统固有频率之间的关系,简称“主谱”。
② 剩余响应谱:在冲击持续作用完结之后的时间范围内出现的最大响应峰值与系统固有频率之间的关系,简称“余谱”。
③ 最大响应谱:在整个响应过程中的最大响应峰值与系统固有频率之间的关系,即“主谱”和“余谱”的包络谱。当此最大响应值为绝对值最大时,称为绝对最大响应谱。
④ 最小响应谱:在整个响应过程中的最大响应峰值与系统固有频率之间的关系。
(2)冲击响应谱模拟试验方法
采用典型冲击波形模拟的试验方法虽简单,但有其固有的缺点,这是因为除包装跌落或飞机着陆冲击且在震源附近的波形近似典型脉冲外,其余多半属复杂振荡型冲击。这时用半正弦波等模拟就过于保守,表现在两方面,即由于半正弦等脉冲的谱不能很好地模拟实际谱造成低颇部分过度试验,以及因时间历程不同使半正弦等脉冲冲击的速度峰值远高于实际振荡型冲击,如图11所示。

图11 实验、理论半正弦谱与外场实测谱的比较
如前所述,由于冲击响应谱忽略了相位关系,它与冲击波形无对应关系,这为冲击谱模拟创造了有利条件,即可选用任何便于实现的波形去匹配要求的冲击谱。也就是说,只要给出了冲击输入,无论它是标准加速度冲击脉冲还是图形一数据库表示的瞬态冲击过程,都可以求解获得与其对应的冲击谱。如果使受控装置上的被试样品因受激励而响应,且其响应包络了给定的冲击谱,那么,表明这种受控模拟方法与实际冲击环境有着相同的作用效果,这便是本模拟方法的基本思想。
模拟谱的方法有两种:一是正弦扫描法,二是瞬态波组合法。前者可充分利用传统的正弦激励及模拟式控制设备,后者则主要靠数控振动系统方可实现。用跌落冲击试验机增加某些弹簧质量即所谓程序器,也可产生瞬态波形来满足冲击谱规范,虽精度有限,但仍不失为一种经济可行的方法,如表7所示。

表7 冲击响应谱模拟方法一览表
利用振动台完成冲击试验的好处是节省了激励设备、夹具,缩短了试验周期,主要缺点是受到振动系统能力的限制,如最大位移限、速度限、加速度限和最大推力值等。
(3)爆炸冲击环境模拟试验方法
用冲击响应谱来描述爆炸冲击,目前通用的试验规范是给定一定频率范围内所对应的冲击响应谱值,且冲击响应谱值有一定的容差要求;对时域信号有一定的持续时间要求,爆炸冲击环境的持续时间要求是≤20ms,对时域信号的峰值大小没有确定要求。
爆炸冲击环境的模拟比较复杂,试验设备的类型也较多,且没有统一的设备计量国家标准。目前,航天冲击响应谱规范试验室模拟,通用设备有电动振动台和机械式试验机两大类,其中机械式试验机主要有谐振板式冲击谱机和摆锤式冲击谱机两种。
由于用电动振动台进行爆炸冲击环境模拟有一定的局限性,主要是振动台产生的冲击加速度幅值有限制,而且冲击响应谱模拟要求电动振动台在 20ms 内发出一个强电流,这对功放及振动台台体可能造成一定的损伤,因此,目前试验室进行冲击响应谱规范模拟大多采用谐振板式冲击谱试验机和摆锤式冲击谱试验机。
在试验室进行冲击响应谱模拟试验时,发现用电动机振动台和用机械式试验机进行模拟还是有差异的,虽然都可以达到冲击响应谱满足试验要求,但时域差异较大,主要是时域长短和峰值加速度值差异大,一般情况是,用机械式冲击机模拟的时域较短(<10ms),峰值加速度值较高,而用电动振动台模拟时域相对长(< 20ms),峰值加速度值比机械式模拟低。对于低量级(谱 600g 以下)的冲击响应谱模拟,这种差异略小,而对于高量级(谱 800g 以上)的冲击响应谱模拟,这种差异较大,用谐振板式冲击谱试验机进行模拟时的时域加速度峰值,有时是用电动振动台进行模拟时的2~3倍。
对于高量级(谱 800g 以上)的冲击响应谱模拟,目前试验室模拟主要采用机械式试验机进行,也有用响应放大装置在电动振动台上实现模拟;而低量级(谱 600g 以下)的冲击响应谱模拟,试验室模拟可根据设备条件选用电动振动台或机械式试验机两种方式。
(4)高速撞击冲击环境模拟试验方法
现代设备系统中电子设备的比重越来越大,它们对冲击和加速度都非常敏感,所以,任何现代设备的发展都要解决大量与冲击载荷有关的问题,如发射、分离、减速回收、终点撞击和爆炸性能等。对于这种高能冲击,前述方法已不适用,必须采用空气炮、火药炮等方法。这里主要介绍空气炮的试验方法及应用领域。
空气炮作为一种加载工具,因为具有重复性好,安全性高、操作维护较方便的优点。空气炮由高压气室、释放机构、发射身管、炮弹和回收装置等组成,图 12所示为其原理图。该空气炮口径为 100mm,发射管有效长度为 6.2m,气室容积约为 0.03592m3。发射时先通过快速释放机构打开阀门,气体压力直接作用到弹丸底部,弹丸被加速直到撞击弹载加速度存储测试装置,改变碰撞接触面机制毡垫的软硬程度和厚度(不超过 30mm),可以产生不同加速度幅值a0,持续时间μ0(脉宽)的加速度信号,以模拟弹体撞击硬目标过程中初始段的负向加速度。
为了吸收碰撞后的剩余能量,采用类似火炮反后座装置的技术,设计制造了液气缓冲装置,利用液体高速通过小孔产生的阻力和能量消耗,来吸收碰撞结束后炮弹和测试装置的剩余能量。

图12 冲击试验模拟装置原理示意图
空气炮的应用领域主要如下。
(a)撞击研究试验
如火箭弹头在不同入射角、靶面、撞击速度和质量下的撞击性能研究(并可模拟弹头自旋);弹头部件的撞击环境考核。
(b)弹射模拟试验
气炮在武器弹射环境模拟方面用于弹射功能研究、重要部件的考核。弹药在炮管内加速到最大速度相当于气流速度和释放速度。
(c)火箭发动机信号模拟试验
可模拟火箭的加速度时间历程,代替真实发动机点火来研究保险、装药、引信、控制装置及其他子系统的性能。这类信号通常是近似梯形或半正弦的波形,其峰值为4900~98000m/s2,持续时间为5~30ms,上升时间为3ms。
(d)飞行减速(后座)载荷模拟试验
用于模拟弹射后的减速飞行载荷以研究它对关键部件性能的影响,试件装在特殊设计的弹壳内以保证载荷作用方向与真实使用方向一致,这种试验的炮管要比较长,以达到所需的持续时间。例如,为实现持续时间为 330ms(试件质量为15kg)的减速载荷试验,需具有炮管为1m、口径为225mm的双膛(双压力室)的空气炮。
(e)爆炸分离冲击模拟试验
爆炸螺栓是最常用的火箭级间分离装置,分离后的爆炸螺栓头撞击在保护盒上会产生高频冲击。可用气炮模拟螺栓头的质量及撞击速度代替真实爆炸螺栓研究高频冲击对设备的影响。
(f)材料抗撞击性能的试验研究
用气炮发射具有给定几何、物理及运动参数的弹体撞击给定的材料制成的靶面,可进行不同撞击条件下材料的撞击性能研究和改进。例如,航天飞机在发射前,因低温液氢液氧加注后会使大气中的水蒸气在箱体上凝成一层厚冰壳。发射时,碎落的冰壳会撞击在机身的防热瓦上引起各部位防热瓦产生不同程度的损伤,为此可利用气炮发射长为8.75cm、直径为2.2cm的柱状弹体,该弹体为橘黄色的水冻质地,以模拟实际碎冰块并便于观察。
本文链接:/index.html